Zmiana rodzaju gazu zasilającego urządzenie gazowe
Data wydruku: 25 May 2026
Adres strony: https://kompasbudowlany.pl/zmiana-rodzaju-gazu-zasilajacego-urzadzenie-gazowe/
Urządzenia gazowe kategorii II mogą być zasilane dwoma rodzajami gazu, gazem ziemnym oraz gazem propan/butan. Urządzenia te mają odpowiednie oznaczenie na tabliczce znamionowej np. II2E3P/B. Oznaczenie to odczytuje się jako urządzenie kategorii drugiej zasilane gazem z rodziny drugiej, grupy E oraz gazem z rodziny trzeciej grupy P/B.
Przejście z jednego rodzaju gazu na inny wymaga zmiany średnicy dyszy. Jednocześnie należy za pomocą reduktora dostosować ciśnienie gazu przed palnikiem.
Istotne jest to, aby pomimo zmiany parametrów gazu, nie zmieniło się obciążenie cieplne urządzenia gazowego. Jak sprawić aby pomimo zmiany wartości opałowej, gęstości a także ciśnienia gazu obciążenie cieplne urządzenia gazowego nie zmieniło swojej wartości.
Obciążenie cieplne jest to ilość ciepła zawarta w gazie, który przepływa przez dyszę palika w jednostce czasu. Obliczamy je mnożąc ilość gazu q przepływającego przez palnik w ciągu sekundy przez wartość opałową Hu (lub ciepło właściwe) tego gazu.

Wartość opałowa poszczególnych grup gazu jest podawana przez dostawców gazu. Natomiast strumień objętości gazu przepływającego przez palnik w jednostce czasu określa zależność:

A – powierzchnia przekroju dyszy palnika, [m2]
v – prędkość przepływu gazu przez dyszę [m/s]
Prędkość przepływu gazu przez dyszę wyznaczymy używając równania Bernoulliego. Jest to podstawowe równanie dynamiki płynów. Mówi ono o tym, że jeżeli podczas przepływu płynu w przewodzie zamkniętym wzrasta prędkość to ciśnienie maleje . Gaz ziemny wysokometanowy poruszający się z prędkością do 75 m/s może być traktowany jak nieściśliwy płyn. Równanie Bernoulliego ujmuje różne rodzaje energii przepływającego czynnika. Kolejne człony równania wyrażają te energie: energię ciśnienia, energię kinetyczną (od prędkości) i energię potencjalną (od wysokości położenia). Równanie wskazuje też, że suma tych energii w każdym przekroju jest stała.

E – energia jednostki masy gazu,
p – ciśnienie gazu w rozpatrywanym przekroju,
ρ – gęstość gazu,
h – wysokość w układzie odniesienia, w którym liczona jest energia potencjalna,
g – przyspieszenie ziemskie równe 9,81 m/s2.
Rozpatrzmy teraz dwa przekroje dyszy na drodze przepływającego gazu.

Jak wiadomo w obydwu przekrojach obowiązuje prawo zachowania energii. Piszemy równanie Bernoulliego dla przekrojów 1 i 2. W naszym przypadku energia potencjalna od wysokości w każdym przekroju jest taka sama i człon ten pominiemy.

Prędkość w przekroju 1 jest na tyle mała w porównaniu z przekrojem 2, iż pominięcie członu energii od prędkości w przekroju 1, nie będzie miało istotnego wpływu na nasze obliczenia.

Dalej wyznaczymy prędkość v2 gazu wypływającego z dyszy.

Mamy wyznaczoną prędkość gazu wypływającego z dyszy i możemy powrócić do obliczania obciążenia cieplnego urządzenia gazowego. Jak pamiętamy obciążenie cieplne to wartość opałowa pomnożona przez ilość gazu przepływającego przez palnik w jednostce czasu.

Hu – wartość opałowa, znana dla poszczególnych rodzajów gazu,
q – strumień gazu przepływającego przez palnik w jednostce czasu.

Powierzchnię przekroju dyszy palnika A wyrazimy przez średnicę otworu dyszy d:

Prędkość v potrafimy już wyznaczyć na podstawie różnicy ciśnień przed i za dyszą Dp = p2 – p1 . Jeszcze tylko musimy uwzględnić współczynnik wypływu z dyszy a. Jest to współczynnik zmniejszający prędkość wypływu zależny od budowy dyszy. W naszym przypadku przyjmiemy wartość typową dla dysz kuchenki gazowej a = 0,7.
Strumień gazu przepływającego przez palnik w jednostce czasu:

Obciążenie cieplne:

Przyjmijmy teraz, że chcemy przejść z gazu ziemnego E na propan-butan.
Zmieni się więc wartość opałowa, gęstość oraz ciśnienie gazu. Korzystając ze standardowych dostaw gazu, tych parametrów nie jesteśmy w stanie zmienić. Musimy jednak zachować stałość obciążenia cieplnego. Możemy to zrobić zmieniając średnicę dyszy.
Zestawmy obciążenia cieplne Q dwóch różnych gazów i spróbujmy określić jak zmienia się średnica dyszy d przy przejściu z jednego gazu na inny.

Po przekształceniu otrzymujemy równanie z piętrowymi pierwiastkami [1]:

Wzór jest piętrowo rozbudowany ale łatwy do obliczenia. Wykorzystamy teraz przeprowadzone obliczenia praktycznie. Zmieniamy zasilanie kuchenki z gazu ziemnego wysokometanowego E na Propan Butan. Musimy ustalić na jakie dysze należy zmienić dysze stosowane do tej pory.
Spójrzmy na średnice dysz podane przez producenta kuchenki Amica

dE= 1,12 mm dla palnika dużego, dE= 0,86 mm dla średniego i dE= 0,77 mm dla małego.
Wartość opałowa gazu ziemnego HE = 35,0 MJ/m3,
Gęstość objętościowa gazu ziemnego ρE = 0,72 kg/m3,
Ciśnienie przed palnikiem dla gazu ziemnego minus ciśnienie atmosferyczne ΔpE = 2000 Pa,
Wartość opałowa mieszaniny propan-butan HPB = 109,0 MJ/m3,
Gęstość objętościowa mieszaniny 50% / 50% propan-butan ρPB = 2,36 kg/m3,
Ciśnienie przed palnikiem dla mieszaniny propan-butan minus ciśnienie atmosferyczne ΔpPB = 3600 Pa
Wstawiając powyższe wielkości do wzoru [1] otrzymujemy:
dPB = dE * 0,66
Podstawiając za dE średnicę dysz dla poszczególnych palników gazu ziemnego otrzymujemy następujące średnice dysz dla gazu propan-butan: 0,74; 0,57; 0,51.
Zobaczmy jak mają się nasze obliczenia do wartości podanych przez producenta kuchenki Amica (tabela 1, drugi wiersz „G30 3P/B 37mbar”). Wyliczone wartości nie różnią się więcej niż 2% od wartości podanych przez producenta.
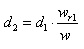
Można zauważyć związek naszego równania, na przeliczenie średnicy dysz z liczbą Wobbego. Właściwie, z rozszerzoną liczbą Wobbego, wylicza się ją z następującego wzoru:

Zmianę średnicy dysz możemy teraz wyrazić za pomocą rozszerzonych liczb Wobbego rozpatrywanych gazów:

W ten sposób można samodzielnie ustalić średnicę dyszy jeżeli na przykład nie mamy dostępu do instrukcji urządzenia gazowego a zmieniamy rodzaj gazu zasilającego urządzenie.

