Jak zwiększyć ciąg kominowy?
Data wydruku: 25 May 2026
Adres strony: https://kompasbudowlany.pl/jak-zwiekszyc-ciag-kominowy-przyczyny-slabego-ciagu-kominowego/
Co to jest ciąg kominowy. Przyczyny słabego ciągu kominowego.
Podczas spalania paliw (drewno, węgiel, gaz, olej opałowy) otrzymuje się produkty spalania. Spalając paliwa np. w domowych piecach czy kotłach należy odprowadzić produkty spalania na zewnątrz domu. Robi się to, o czym każdy wie, kierując dym do komina a spaliny do przewodu spalinowego. Dymem nazywane są produkty spalania paliw stałych, spalinami produkty spalania gazów i olejów. W tym tekście dla uproszczenia używane będą terminy gazy spalinowe albo spaliny oraz termin – komin, jako pojęcia wspólne dla wszystkich rodzajów paliwa.
Obecnie większość nowoczesnych urządzeń domowych do spalania paliw, wymusza przepływ gazów spalinowych do komina za pomocą wentylatorów. Jest to bezpieczne rozwiązanie, dzięki któremu unika się w dużym stopniu niekontrolowanego przedostawania się spalin do pomieszczeń mieszkalnych.
Jednak istnieje cały szereg domowych urządzeń spalających opał, w których odprowadzenie produktów spalania odbywa się na zasadzie naturalnego ciągu kominowego, bez udziału wentylatora. Do tych urządzeń należy większość starszych pieców i kotłów a także część nowoczesnych kotłów na paliwa stałe, kominki salonowe oraz piecyki zwane kozami.
Spalanie opału powoduje powstawanie gazów spalinowych, których skład chemiczny zależny jest od spalanego paliwa. Produktami spalania mogą być: dwutlenek węgla, tlenek węgla, para wodna, tlenki siarki, tlenki azotu, węgiel w postaci sadzy.
W jaki sposób powstaje siła powodująca ruch gazów spalinowych w górę komina? Siła ta, to naturalny ciąg kominowy i spowodowana jest różnicą ciężarów słupa gazów spalinowych w kominie i takiego samego słupa otaczającego powietrza. Kiedy porówna się gęstość gazów spalinowych z gęstością powietrza okazuje się, że gęstość gazów spalinowych jest większa ponieważ ciężar właściwy związków chemicznych, które tworzą spaliny jest większy od gęstości tlenu i azotu wchodzących w skład powietrza.
ρs,0 – przykładowa gęstość gazów spalinowych – 1,350 kg/m3,
ρp,0 – gęstość powietrza – 1,292 kg/m3,
Powyższe gęstości obydwu gazów dotyczą warunków normalnych, czyli temperatury 0oC i ciśnienia 1 atm. W rzeczywistości temperatura gazów spalinowych jest znacznie wyższa od temperatury otaczającego powietrza. Wzrost temperatury gazu powoduje zwiększenie jego objętości. Zależność ta wyraża się wzorem [1]:
Vt=V0 (1+α∙t)
Gdzie:
Vt – objętość gazu w temperaturze t,
V0 – objętość gazu w temperaturze 0oC,
α – współczynnik rozszerzalności gazu w zależności od temperatury,

t – temperatura gazu w stopniach Celsjusza.
Jeżeli temperatura gazów spalinowych wynosi 200oC, ich objętość, która w temperaturze 0oC wynosi 1m3, wzrośnie i będzie miała wartość:
Vs,200=1(1+0,00367*200)=1,734 m3
Gdy temperatura powietrza zewnętrznego wynosi 5oC, objętość powietrza powiększy się:
Vp,5=1(1+0,00367*5)=1,018 m3
Gęstości spalin i gęstość powietrza w rozpatrywanych temperaturach otrzymuje się dzieląc gęstości w temperaturze 0oC przez obliczone objętości:

Naturalny ciąg kominowy jest wynikiem różnicy gęstości powietrza i gazów spalinowych. Na skutek tego, że spaliny mają wysoką temperaturę ich gęstość jest mniejsza od gęstości otaczającego powietrza i ta różnica powoduje powstanie siły sprawiającej unoszenie się gazów spalinowych w górę, wzdłuż kanału komina.

Miarą ciągu kominowego jest jednostka ciśnienia, Paskal [Pa]. Ciąg kominowy można obliczyć jako różnicę ciśnienia, jakie wytwarza działający pionowo w dół słup gazów spalinowych oraz ciśnienia jaki wytwarza słupa powietrza tej samej wysokości:

g – przyspieszenie ziemskie, uśredniona stała o wartości 9,81 m/s2,
h – wysokość komina w metrach.
Przyjmując efektywną wysokość komina 4 m, otrzymuje się wartość ciągu kominowego:

Producenci kotłów podają, że wartość ciągu kominowego powinna wynosić od 10 do 30 Pa dla urządzeń gazowych i olejowych natomiast dla kotłów opalanych paliwem stałym do 40 Pa.
Co wpływa na ciąg kominowy. Poprawienie ciągu kominowego.
Powietrze zasilające proces spalania przechodzi swoistą ścieżkę, na której musi pokonać opory ruchu przeciskając się przez różne przeszkody aby dostać się do paleniska. Chcąc otrzymać rzeczywistą wartość siły ciągu kominowego należy obliczoną wartość ciągu Ck pomniejszyć o straty ciśnienia wywołane przepływem powietrza do pomieszczenia, w którym znajduje się kocioł, przepływem przez kocioł i czopuch a także przez sam komin, w którym przepływa już w postaci spalin.
Biorąc pod uwagę ciąg kominowy należy zadbać o zasilenie kotła odpowiednią ilością powietrza niezbędną do spalana. Pomieszczenie, w którym znajduje się urządzenie grzewcze powinno mieć zapewniony wystarczający dopływ powietrza. Niedostateczny dopływ powietrza spowoduje, że spalanie paliwa będzie niecałkowite, tym samym energia zawarta w paliwie nie zostanie w całości wykorzystana. Najkorzystniej jest kiedy punkt dopływu powietrza znajduje się w pobliżu paleniska, w przeciwnym wypadku powietrze przepływające do kotła przez całe pomieszczenie może mocno je wychłodzić w okresie zimowym. Jako przewody dostarczające powietrze można wykorzystać kanały wentylacyjne w szachcie kominowym lub dodatkowy kanał w pustakach komina systemowego.
Użytkując urządzenie grzewcze pożądane jest aby spaliny wytraciły jak najwięcej energii cieplnej zanim opuszczą kocioł oraz komin. Zasadniczo, dobrze jest kiedy konstrukcja komina zapobiega nadmiernemu wyziębieniu się gazów spalinowych. Co zrobić kiedy sam komin ma służyć do ogrzewania pomieszczenia i ma oddawać ciepło spalin. Stoi to w sprzeczności z zamiarem uzyskania jak najwyższej temperatury spalin w kominie. W takim wypadku w celu zwiększenia zbyt małego ciągu kominowego należy skierować wysiłki na inne zabiegi niż na uzyskanie wysokiej temperatury spalin. Podniesienie wysokości komina zazwyczaj poprawia ciąg kominowy, należy jednak pamiętać o stateczności takiego podwyższonego komina. Podwyższenie komina powinno być poprzedzone wykonaniem obliczeń statycznych przez uprawnionego projektanta. Kominy systemowe posiadają specjalne otwory, w które można wsunąć pręty zbrojeniowe stabilizujące komin.
W kominach, których wylot znajduje się w pobliżu kalenicy albo innych przeszkód na dachu, zawirowania powietrza mogą powodować zakłócenie ciągu kominowego. Pożądane jest przestrzeganie zasad odpowiedniego usytuowania komina w stosunku do konfiguracji dachu [4]. Prawidłowy ciąg kominowy mogą zakłócać również blisko rosnące, wysokie drzewa lub sąsiednie, wysokie budynki.

Średnica i wysokość komina
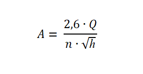
Nierówna powierzchnia kanału kominowego oraz zbyt mały jego przekrój mogą przyczynić się do zmniejszenia siły ciągu komina. Najkorzystniej jest kiedy kanał spalinowy wykonany jest z rur z blachy kwasoodpornej lub prefabrykowanych elementów ceramicznych. Przekrój kanału spalinowego powinien być podany przez producent urządzenia grzewczego. Jeżeli nie mamy takich danych, możemy skorzystać ze wzoru Redtenbacher’a [3]:

A – przekrój komina [m2],
Q – moc paleniska [kW],
n – współczynnik zależny od rodzaju opału, dla drewna n=900, dla gazu n=1800, dla węgla i koksu n=1600,
h – wysokość komina,
Powyższy wzór zakłada, że wysokość komina jest już zaplanowana, niemniej jednak dobierając wysokość komina należy uwzględnić warunki podane w normach i rozporządzeniach [4], [5], [6].
Wymagany przekrój komina można również wyznaczyć za pomocą diagramów zamieszczanych na stronach producentów systemów kominowych. Tego typu diagramy pozwalają kompleksowo określić średnicę i wysokość komina w zależności od mocy kotła.

Należy wziąć pod uwagę to, że zbyt duże pole przekroju kanału spalinowego powoduje obniżenie prędkości przemieszczania się spalin w kominie do wartości poniżej 2 m/s. Stwarza to niebezpieczeństwo nadmiernego wyziębiania się spalin i może prowadzić do wykraplania się kondensatu na ściankach przewodu kominowego. Jeżeli komin nie jest przystosowany do tego typu pracy zjawisko to może stanowić problem ponieważ kwaśny odczyn skroplin powoduje degradację ścian komina.
Optymalna prędkość wynosi od 2 do 6 m/s. Przy prędkości powyżej 6 m/s wzrastają opory przepływu spalin nawet do wartości przekraczającej ciąg kominowy. W efekcie może to prowadzić poważnego zakłócenia przepływu spalin lub wręcz do zaniku ciągu.
Literatura
[1] Kłoś Czesław „Kominy”,
[2] Kania R. Technika kominowa, materiały firmy Schiedel,
[3] Materiały firmy Viessmann,
[4] PN-89/B-10425 Przewody dymowe, spalinowe i wentylacyjne murowane z cegły,
[5] PN-EN 1443 : 2005 Kominy – wymagania ogólne,
[6] Rozporządzenia Ministra Infrastruktury w sprawie warunków technicznych, jakim powinny odpowiadać budynki i ich usytuowanie z dnia 12 kwietnia 2002 r. (Dz.U. 75, poz. 690).

